AAAT

宋科:黄金vs.“数字黄金”——特朗普2.0时代比特币的市场定位

时间:2026年01月19日 作者:简苏尔·居来提(中央财经大学金融学院);李雨佳(中国人民大学数学学院);宋科(中国人民大学国际货币研究所副所长、财政金融学院教授) 

导读:

2024年比特币现货ETF获批拓宽了其投资渠道,特朗普连任后提出的比特币储备提案更推动其价格突破10万美元,使其从“投机标的”转型为主流认可的资产类别,被美联储主席鲍威尔称为“数字黄金”。过往危机显示比特币有一定避险潜力,但2025年特朗普政府的积极政策削弱了它与黄金的相似性,探究其避险属性演变已成为研究重点。“IMI财经观察”公众号特推出此文,以窥读者。
阅读全文

编者按

2024年比特币现货ETF获批拓宽了其投资渠道,特朗普连任后提出的比特币储备提案更推动其价格突破10万美元,使其从“投机标的”转型为主流认可的资产类别,被美联储主席鲍威尔称为“数字黄金”。过往危机显示比特币有一定避险潜力,但2025年特朗普政府的积极政策削弱了它与黄金的相似性,探究其避险属性演变已成为研究重点。“IMI财经观察”公众号特推出此文,以窥读者。

黄金vs.“数字黄金”:

特朗普2.0时代比特币的市场定位

Gold vs. “digital gold”: Bitcoin’s market positioning in the Trump 2.0 era

摘要:特朗普政府正在加速比特币从零售驱动的投机工具向获得制度性认可资产类别的演变。因此,比特币的避险属性可能正在发生变化。本文考察了比特币与黄金在不同危机时期的避险属性,重点分析了特朗普2.0时代比特币避险特征的演变。我们采用了频域分解方法来刻画联通性,并结合带滤波的增强型分位数Granger因果检验,对2015–2025年间的日度数据进行分析。研究结果表明在特朗普2.0之前,比特币和黄金仅在中期危机(如“黑天鹅”事件或行业性崩盘)中能够有效对冲风险。值得注意的是,它们的作用机制存在显著差异:比特币通过市场隔离来缓解系统性溢出风险,而黄金则依赖其内在的价值保值功能。在特朗普2.0时期,比特币与黄金之间的相似性消失,与市场的关联性增强;然而,比特币似乎在中期危机中仍然保留了避险属性。


01

引言


2024年1月,比特币现货交易型开放式指数基金(ETF)的获批,拓宽了加密货币市场的主流投资渠道。随后,特朗普再次当选,其竞选期间提出的建立比特币储备的政策主张,一度将比特币价格推高至100,000美元以上,引发了全球范围内对加密货币的广泛关注与讨论。近年来,以比特币为代表的加密货币,已逐步从被视为主流金融体系之外的“洗钱工具”和“投机性工具”,转变为被主流市场认可的新型资产类别。美联储主席鲍威尔甚至将比特币称为“数字黄金”。


图1展示了比特币在以往危机时期的潜在避险能力。在新冠疫情初期,标普500指数经历了显著下跌,而由于避险需求的推动,黄金价格稳步上升。在2023年美国硅谷银行倒闭所引发的地区性银行危机期间,比特币与黄金均表现出显著的正相关关系,二者价格同步上涨,体现出避险需求的驱动作用。一些研究将加密货币,尤其是比特币,识别为潜在的避险工具(Bouri et al., 2017;Díaz-Maganini et al., 2021;Shahzad et al., 2019)。同时,也有文献指出,比特币的对冲绩效在不同市场和不同资产类别之间存在显著差异(Shahzad et al., 2019;Urquhart and Zhang, 2019)。

特朗普政府在2025年对加密货币行业实施的一系列积极政策,似乎削弱了比特币与黄金之间的相似性。这一变化,加之机构投资者在加密货币市场中的参与度不断提高,使得在特朗普2.0的政策环境下,重新审视比特币避险属性的演变变得尤为重要,其中黄金作为对照基准资产。

基于上述背景,本文旨在考察在特朗普2.0时代政策环境变化下,比特币避险特征的演化过程,并以黄金作为比较基准,在已有关于经济政策不确定性(EPU)对比特币影响研究的基础上进一步拓展(Demir et al., 2018;Fang et al., 2019)。此外,通过引入频域分解的联通性分析方法,我们细化了时间维度上的分析分辨率,为当前关于比特币避险属性在不同时间尺度、不同情境下呈现异质性和条件性特征的讨论提供了新的经验证据(Bouri, Jalkh, et al., 2017;Bouri, Molnár, et al., 2017;Filon and Mishra, 2023;Jia et al., 2023;Pastén-Henríquez et al., 2025;Shahzad et al., 2019;Wang et al., 2025)。因此,本文重点考察比特币与黄金在不同危机时期的避险属性,尤其关注特朗普2.0时代比特币避险特征的演变。

总体而言,本文实现了三个研究目标。首先,通过采用一种新的频域分解联通性方法(Baruník and Křehlík, 2018)以及分位数Granger因果检验(Troster, 2018),本文在不同时间频率维度上为比特币避险属性提供了新的经验证据,表明比特币的避险功能仅在特定情境下成立,从而补充并拓展了既有研究(Bouri, Gupta, et al., 2017;Corbet et al., 2018;Díaz-Maganini et al., 2021;Dyhrberg, 2016b;Jia et al., 2023;Pastén-Henríquez et al., 2025;Wang et al., 2025)。其次,我们发现,在特朗普2.0之前,比特币与黄金均表现出相当的避险特征,但主要体现在中期冲击下,尤其是由“黑天鹅”事件或金融体系内部机构倒闭所引发的冲击。尽管如此,二者避险属性的作用机制却通过不同渠道发挥作用。最后,通过将特朗普2.0时期的实证结果与此前时期进行对比,本文进一步揭示了比特币与黄金之间相似性的消失,以及比特币避险属性可能具有的持续性。


02

文献综述


2.1 比特币与黄金

黄金长期以来一直是金融文献中研究最为充分、且被广泛认可的避险资产(Baur and McDermott, 2010;He et al., 2018;Jia et al., 2023;Shahzad et al., 2019)。由于其稀缺性、去中心化特征以及耐久性,比特币常被认为与黄金具有相似属性,并因此被称为“数字黄金”。

从结构和运行机制的角度看,比特币在多个方面与黄金具有相似性,尤其体现在供应量有限、去中心化治理(不依赖主权机构)以及独特的价格形成机制等方面(Selgin, 2015;Selmi et al., 2018;Shahzad et al., 2019)。Dyhrberg (2016a) 指出,比特币与黄金之间存在若干结构性相似之处,表明比特币可能具备一定的对冲潜力,并在中期汇率波动中具有优势。相反,Corbet et al. (2018) 发现,比特币在更广泛的市场下跌期间往往与股票市场呈现正向联动,这表明其缺乏对股票风险的有效对冲能力;相比之下,黄金则持续展现出传统意义上的“避险迁移(flight-to-quality)”特征。

2.2 比特币的避险属性

大量研究探讨了比特币是否能够发挥避险资产的作用。从理论角度来看,比特币的设计初衷在于应对既有金融体系中的不确定性与信任缺失(Bouri, Gupta, et al., 2017;Dyhrberg, 2016b;Wang et al., 2019)。实证研究亦表明,加密货币——尤其是比特币——在某些情境下可被视为潜在的避险资产(Bouri, Gupta, et al., 2017;Bouri, Molnár, et al., 2017;Díaz-Maganini et al., 2021;Dyhrberg, 2016b;Shahzad et al., 2019;Wang et al., 2019)。其原因在于,加密货币在很大程度上独立于传统金融基础设施运行,因此较少直接暴露于系统性冲击之下(Dyhrberg, 2016a)。

然而,现有文献也揭示了比特币避险行为在不同市场和资产类别之间存在显著的异质性。Shahzad et al. (2019) 指出,相对于全球股票指数,比特币仅表现出较弱的避险属性,且这一特征在发达市场和新兴市场中均不明显。Urquhart and Zhang (2019) 进一步发现,在极端市场动荡时期,比特币仅能对加元、瑞士法郎和英镑发挥避险作用,而对其他主要货币并不具备避险功能。

近年来,相关研究将讨论拓展至特定危机情境,如新冠疫情和俄乌冲突。大量研究表明,在这些时期,比特币及其他加密货币可能发挥短期避险资产的作用(Enilov and Mishra, 2023;Pastén-Henríquez et al., 2025)。Enilov and Mishra(2023)强调了不同加密货币之间避险属性存在的显著异质性,而Pastén-Henríquez et al.(2025)则指出,加密资产的避险绩效高度依赖于事件类型。此外,Wang et al.(2025)进一步揭示了地缘政治异质性的存在,发现,在俄乌冲突期间,无论是黄金还是加密货币,均未能在金砖国家股票市场中持续发挥避险资产的作用。

2.3 政策影响

随着所谓“特朗普2.0时代”的到来,政策不确定性对比特币特征的影响再次引发学界关注。既有研究普遍认为,经济政策不确定性(EPU)的上升会影响大宗商品市场(Shahzad et al., 2017;Yin and Han, 2014)、债券市场(Ioannidis and Ka, 2021)以及比特币(Demir et al., 2018),而上述资产均在一定程度上具备对冲特性。后续研究进一步提供了证据,表明全球政策不确定性会影响比特币、全球股票市场以及大宗商品的长期波动性(Fang et al., 2019)。


03

数据与方法


3.1 数据

本文收集了2015年3月17日至2025年5月9日期间的关键变量数据。在2015年之前,比特币市场流动性极低,且价格频繁出现不连续现象,使得相关数据不适合用于涉及联通性或避险动态的实证分析。自2015年起,加密货币市场的市值规模开始显著增长,数据生成过程也随之变得更加稳定且具有经济意义。因此,本文选择2015年3月作为样本起点,以确保样本在与传统金融资产进行比较时具备一致性和可靠性。

比特币的日度收盘价数据来自CoinMarketCap网站;标普500指数、美国10年期国债以及美元指数的日度数据来源于FRED(Federal Reserve Economic Data)数据库;黄金价格(以美元计价的每盎司价格)数据来自Bloomberg数据库。本文计算了上述五类资产的收益率序列,且所有变量在一阶差分后均为平稳序列。

3.2 方法

为考察比特币、黄金及其他主要交易资产之间的相互联通性,本文采用Baruník和Křehlík(2018)提出的频域分解联通性分析方法。随后,为进一步比较黄金与比特币在不同市场状态下的预测能力,本文引入了分位数Granger因果检验(QGC)方法(Troster, 2018)。根据Baur和McDermott(2010)的定义,当某一资产在较低分位数条件下具有可预测性,且对应回归系数为负时,该资产被视为具有“避险资产”属性。

3.2.1 频域分解方法(Frequency-Domain decomposition)

本文采用Baruník和Křehlík(2018)提出的频域分解联通性方法,将不同资产之间的风险传染效应分解为短期、中期和长期风险成分。该方法通过向量自回归模型刻画资产收益率之间的协方差平稳动态过程。

在频域框架下,广义预测误差方差分解(GFEVD)可以表示为频率的函数。对于任意给定的一对变量及某一特定频率区间,可通过在该频率区间内对冲击贡献进行积分,得到对应频段内的风险传导效应。

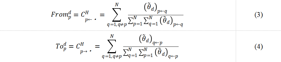
在每一个频率区间中,“From” 行指标衡量某一资产从其他资产接收到的风险传染程度,“To” 列指标则衡量该资产向其他资产传递风险的程度。通过对相应指标进行汇总,可得到各资产在不同频率区间内的总体风险溢出强度。

此外,本文进一步构造了净溢出指标,用于刻画某一资产在特定频率区间内是风险的净接受者还是净输出者,从而综合反映其风险感知与风险传导的总体特征。

3.2.2 分位数Granger因果检验(QGC)

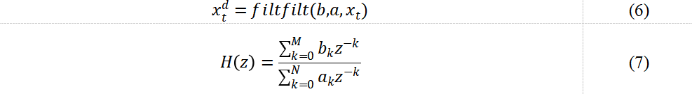
本文进一步将 Butterworth 带通滤波方法(Gómez, 2001)引入金融时间序列分析,并结合分位数 Granger 因果检验(Troster, 2018),以在短期、中期和长期频率区间内分析 Granger 因果关系。

具体而言,首先对原始时间序列进行频域滤波,以提取对应频率区间内的成分。滤波过程采用零相位滤波技术,以避免相位失真。为确保与频域联通性分析方法的一致性,本文分别基于三类频率区间构建分位数 Granger 因果检验模型,其中,被解释变量表示目标资产在特定频率区间内的收益率,而解释变量表示预测资产在相同频率区间内的收益率。

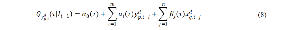
在模型设定中,条件分位数回归用于刻画在不同市场状态下的因果关系。为捕捉极端市场情形,本文以预测变量滞后项的不同分位数作为市场状态划分阈值,其中 0.2、0.5 和 0.8 分位数分别对应市场下行、正常和上行情形。通过对回归系数进行联合 Wald 检验,并计算调整后的 t 统计量,当某一频率区间内预测变量对目标资产在给定分位数下的回归系数显著为负时,表明二者之间存在显著的负向关系,从而支持该预测资产在该频段内具有避险属性。


04

实证结果


遵循频域联通性研究的相关文献,本文将连续的频率区间划分为少数几个具有明确经济含义的频段。既有研究通常以大致一个交易周、数周以及一个月以上来区分短期、中期和长期。基于这一惯例,并为更好地契合比特币7×24小时交易与高度投机性的特征,本文进一步细化了短期维度,采用三个频率区间:1–3个交易日、4–7个交易日以及超过7个交易日。

从经济含义上看,1–3日频段旨在刻画由投机交易和订单流失衡主导的超短期动态;4–7日频段对应一个交易周,在该期间内,短期投机波动与长期趋势的影响相对被排除,理性投资者会基于对突发事件(如新冠疫情或俄乌冲突)的预期对投资组合进行调整,以实现风险对冲;超过7个交易日的频段被解释为长期动态,在该维度下,比特币的行为日益受到宏观经济与政策周期的驱动。

4.1 跨资产风险传染

表1结果表明在全样本期(2015年3月17日—2025年5月9日)内,不同频率区间中比特币、标普500指数、黄金、美国10年期国债以及美元指数之间的风险溢出情况。根据表1中的“From”指标,从短期、中期和长期视角看,比特币在所有资产中承受的风险水平最低;相比之下,黄金的风险水平高于比特币。这表明,比特币与整体市场的联动性较低,其价格主要受自身波动影响,从而成为“分散化投资”的一种可行选择,也暗示其可能具备一定的风险对冲属性。基于表1中的“To”指标,比特币同样表现为所有资产中风险溢出程度最低的资产,而黄金则具有最高的风险溢出指数。


总体而言,在短期内,比特币与黄金均为风险净输出者(“Net”指标为正)。而在中期与长期内,比特币表现为风险净接收者,其“Net”指标虽为负但绝对值极小,表明其对外部冲击的敏感性较低,不太可能成为风险的中心。相反,黄金在中期与长期内仍为风险净输出者,这表明其能够通过向其他资产溢出风险来维持自身价格稳定。这一结果可能源于二者在基本风险对冲机制上的差异:比特币通过相对独立的发展路径与市场保持低相关性,而黄金则在高风险时期通过风险溢出来实现价值稳定。

4.2 特朗普2.0时代的风险传染

为考察特朗普2.0时代不同资产间风险传染关系的变化,本文采用2025年1月1日—2025年5月9日的样本区间。研究结果显示,特朗普2.0时期的风险传染结构发生了显著变化。表2表明,在长期维度上,风险传染程度显著上升,总体传染强度达到240.34。这意味着,在特朗普2.0时代,各类资产对政策与地缘政治冲击的敏感性显著增强,这很可能源于全球贸易紧张局势加剧以及围绕美国政策的不确定性上升,从而推高了国际金融市场的波动性。与此同时,特朗普2.0时期实施的亲加密货币政策,直接改变了众多机构投资者和交易者对比特币的态度,推动大量资金流入加密货币市场。


此外,如表2所示,比特币与黄金之间的相似性明显下降,其在特朗普2.0时期所呈现的属性差异显著扩大。在长期维度下,比特币与其他资产之间的相似性和相关性上升,表明其与其他资产的联动关系发生了转变:加密货币市场正从以散户主导的投机市场,转向一个机构投资者显著参与、逐步获得主流认可的新型资产类别,并由“避险资产”向“风险资产”转变。相反,在短期、中期和长期各维度下,黄金均表现为风险净接收者,这表明黄金成为各类资产风险集中爆发的核心,对政策冲击的敏感性更高。

从监管视角看,特朗普2.0时期总联通性的急剧上升,以及比特币向其他资产类别溢出风险的增强,表明加密货币市场已不再是一个相对孤立的体系。宏观审慎监管与系统性风险监测应明确纳入比特币冲击向股票、债券和外汇市场传导的渠道。

4.3 比特币与黄金的避险属性

为进一步探讨比特币与黄金的“避险”属性,本文对全样本期(2015年3月18日—2025年5月9日)应用分位数Granger因果检验(QGC),以分析不同资产对标普500指数在低分位数状态下的影响。总体来看,与黄金类似,比特币在特定情境下(如新冠疫情或2023年硅谷银行倒闭引发的金融危机)表现出避险属性。


如图2所示,从长期视角看,当标普500处于低分位数区间时,比特币和黄金对标普500冲击的响应均为正,对美国10年期国债冲击的响应同样为正,且在0.05分位数水平上均显著。这表明在长期内,当标普500收益为负时,比特币与黄金倾向于与其同向变动。从短期视角看,结果与长期情形相似。而从中期视角看,当标普 500 处于低分位数(即下跌状态)时,比特币与黄金对标普 500 冲击的响应均为负,其中比特币在 0.05 分位数水平上显著。这表明,在中期内,当标普 500 收益受到负面冲击时,比特币与黄金往往反向变动,体现出在由“黑天鹅”事件(如疫情或行业性危机)引发的金融冲击中所具备的避险属性。这一结果与 Pastén-Henríquez et al. (2025) 的结论一致,即比特币仅在相对较短的时间范围内具有对冲特性,而在长期内其行为更接近总体市场趋势。

为检验结论的稳健性,本文进一步对危机时期的数据进行回归分析,具体包括新冠疫情阶段和2023年硅谷银行倒闭事件。结果(见图4和图5)与主要发现高度一致,进一步支持并验证了Diniz-Maganini et al.(2021)与 Enilov and Mishra(2023)的结论。这表明,在危机时期,尤其是在由黑天鹅事件和行业性危机引发的金融冲击中,比特币与黄金均具备避险属性,其中比特币的避险特征更为显著。


4.4 特朗普2.0时代的避险资产

为进一步验证特朗普2.0时代比特币属性的变化,本文在2025年1月1日—2025年5月9日的样本区间采用QCG方法。研究结果表明,在特朗普2.0时期,比特币与黄金之间的相似性消失,二者对来自其他资产的冲击表现出完全不同的反应模式,这意味着交易者对黄金与比特币的认知已发生分化。


如图3所示,在长期和短期维度下,当标普500处于低分位数时,比特币对标普500冲击的响应仍显著为正,而黄金的响应则为负。这表明在长期内,黄金与标普500呈现反向关系,而比特币则维持同向联动。在中期维度下,当标普500处于低分位数时,比特币对标普500冲击的响应仍为负,表明其在该阶段仍具备一定的避险属性。这一现象可能源于机构投资者进入加密货币市场以及交易者抛售黄金所带来的结构性变化。

综合来看,这些发现表明,在特朗普2.0时代,比特币正从一种准避险资产转变为一种与股票市场同向波动的高风险、成长型资产,而黄金则重新扮演起主要风险承接者的角色。对于机构投资者而言,这意味着将比特币作为长期对冲股票市场压力的资产可能已不再合适,其风险特征更接近于高贝塔资产,应据此进行资产配置调整。对于监管机构而言,比特币在主流投资组合中的整合程度不断提高,进一步凸显了对杠杆水平、跨市场风险敞口以及加密市场与传统金融体系之间潜在反馈回路进行监测的必要性。


05

结论与启示


比特币的避险属性长期以来一直存在较大争议。当前,在特朗普2.0政府实施的亲加密货币政策背景下,比特币从以散户为主导的投机性工具向制度化对冲资产转变,其避险功能的演化尤为值得关注。本文通过引入新的研究方法,拓展了比特币与黄金作为避险资产的相关文献,系统考察了它们在不同时间尺度及特朗普2.0时期内与传统资产关系的变化。


基于频域联通性分解与分位数 Granger 因果检验(QGC)的实证结果表明,在特朗普2.0之前,比特币与黄金在标普500下跌期间表现出高度相似的特征:二者在中期危机中均呈现反向波动,验证了其避险属性。然而,它们的风险对冲机制存在本质差异——比特币依赖于市场隔离效应,而黄金则依托其内在价值与价值储藏功能。特朗普2.0时期的政策转向从根本上改变了比特币的市场行为,其与标普500及美国国债收益率的相关性显著上升,削弱了其与黄金之间的相似性。此时,比特币更接近一种主流风险资产,主要用于分散化投资而非传统意义上的避险工具。上述发现与Diniz-Maganini et al. (2021)、Enilov and Mishra (2023)、Jia et al. (2023)、Pastén-Henríquez et al. (2025)、Shahzad et al. (2019) 以及 Wang et al. (2025)的研究结论相互补充并相互印证。


基于上述结论,本文提出了若干对投资决策、对冲策略及政策制定具有重要意义的启示。对于投资者而言,研究结果强调,在特朗普2.0时代,应密切关注比特币避险属性的动态变化,认识到其与主流资产相关性不断增强,并据此调整投资组合配置,尤其应避免在长期内将比特币视为对冲传统风险资产的可靠工具。对于政策制定者而言,鉴于特朗普2.0期间比特币与传统金融市场之间的风险传染显著增强,有必要加强对加密资产与股票、债券及外汇市场之间联动关系的监测与监管。


尽管本文为理解比特币的避险属性提供了有价值的经验证据,但仍存在一定局限性。受限于数据可得性和样本时间跨度,研究结论的普适性仍有待进一步验证。未来研究可基于更为全面的数据集,系统考察比特币避险属性的动态演变,尤其可引入特朗普2.0时代可能出现的重大危机情景,如大规模黑天鹅事件。此外,研究范围还可进一步拓展至不同类型的加密资产,例如锚定资产的稳定币以及比特币现货ETF等衍生产品。


来源

作者信息:

简苏尔·居来提,中央财经大学金融学院;

李雨佳,中国人民大学数学学院;

宋科,中国人民大学国际货币研究所副所长、财政金融学院教授


来源:

Finance Research Letters, Volume 88, January 2026, 109189



版面编辑|卢思彤

责任编辑|李锦璇、阎奕舟

主编|朱霜霜


近期热文


分享到:
0
扩展阅读