AAAT

类承曜:股票估值、情绪与投资策略

时间:2020年06月16日 作者:Lei Chengyao 

导读:

1 引言 经济学家认为,判断一个人是否受过经济学和金融学的训练,就是看他分析经济问题、分析金融问题有没有分析框架和参照系。比方说,分析资源配置和价值水平的问题,一般会用到阿罗-德布鲁模型;分析公司的融资、
阅读全文
1
引言
经济学家认为,判断一个人是否受过经济学和金融学的训练,就是看他分析经济问题、分析金融问题有没有分析框架和参照系。比方说,分析资源配置和价值水平的问题,一般会用到阿罗-德布鲁模型;分析公司的融资、决策问题,一般要用到MM定理;分析产权和法的问题,就会用到科斯定理。
今天的讲座主要是简单介绍一下金融学理论的核心要点。讲座的主要目的并不是为了分析当前金融危机的原因、对策,而是通过分析金融危机来说明几大金融学理论的研究框架和视角,并在此基础之上理解这些金融学理论的核心要点,给我们提供一些思路。
 2
发生了什么?为什么发生?
(一)2020股票市场危机:这次不一样
“这次不一样”是说今年这场股票市场危机不一样。3月9日以后,美国股市出现快速、大幅度下跌的走势。美股时隔23年后再次触发熔断机制,三大股指从2月最高点最大幅度回调超过30%,进入了技术性熊市。
这一次跟2008年的金融危机有什么不一样呢?简单而言,2008年是金融体系的危机。次贷危机始于刺激贷款,就是质量较低的贷款进行了资产证券化,通过在金融体系内不断加杠杆,最后房地产出现崩盘,证券价值大幅度下跌,导致了很多金融机构倒闭,是一个典型的金融体系危机。但是从宽泛意义上而言,今年的这场危机是一次实体经济的危机。在疫情爆发之前、在金融危机爆发之前,我们看到的一些金融体系指标相对来说是比较健康的,但是之后出现的大型“黑天鹅”(即疫情在全球范围内肆虐)造成了整个金融市场出现快速、大幅度下跌走势。所以这次危机应该说是从实体经济引发的金融体系问题,是不同于2008年的一场危机。
(二)股指为什么出现下跌?
1.决定股价的三大因素
股票的价格等于股票的合理价值加上一个泡沫,当然这个泡沫可正可负。从这个概念来说,股票价格高则可能是股票价值上涨,也可能是出现了泡沫。除此之外,近几年来股票价格的形成受到交易制度的影响。在不同时代、不同国家,整个金融市场的制度安排、产品设计是不一样的,这可能会造成股票价格的剧烈波动。
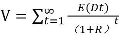
股票的价值是它未来现金流的贴现值,用公式表示为。分子是股票或者上市公司未来能产生的股利,即公司通过经营形成利润,最后将利润分到股东手里。股利越多,分子就越大,合理价值就越高。分母上的R表示金融学上的贴现率。股票产生的现金流、股利的不确定性意味着风险的不确定性,不确定性越大则要求贴现率越高,从而股票的合理价值就越低。
当然,我们还可以从另一个角度解释股票的价格P,即P=E×P/E。其中,E代表着每股的盈利,P/E为市盈率,代表股东们对该股票的估值。股票估价既取决于公司的盈利基本面,也取决于市场对它的估值。因此,股票价值跟股票价格之间有时会产生很大的差异,且这个差异有时候是长期存在的。举个非常简单的例子,万科和海天味业两个公司的股票市值几乎是不相上下的,但是万科的盈利水平实际上是海天味业的10倍,这就说明海天味业的P/E市盈率相当于万科的10倍。但是如果从股票价值来看,海天味业的市场价值相当于万科企业价值的十分之一(因为前者盈利水平是后者盈利水平的十分之一),所以两个公司相同的股票价格意味着市场给予了海天味业一个很高的估值。
2.金融学主要理论
第一个是新古典范式。该理论假设投资者是理性的、市场是均衡的,价格都是准确地反映合理价值的。新古典范式最终在此基础提出了一个非常有代表性的观点——有效市场假说,即市场是有效的,价格准确地反映了所有的信息。
第二个是行为金融学。该理论的假设与新古典范式不一样,它认为投资者不是理性的。投资者存在着认知偏差,从而其投资决策也是非理性的,且这些非理性有时会表现出一种整体性和系统性,而非个别性和随机性。也就是说,大部分投资者都可能有这种非理性心理,从而导致了市场定价的扭曲。
第三个是适应性市场假说。该理论目前还不是特别的流行,是一个刚刚兴起的视角。适应性市场假说认为,金融市场更像是一个生态系统,而不是机械系统。投资者也并不是理性的,他们经常基于过去的直觉和经验进行决策。他们的决策不像新古典范式那样是最优的,适应性市场假说认为决策没有最优,它采用的是一种试错法,即根据有限的理性、知识的不完整性先做出一个投资决策,在此基础上不断地观察投资结果,根据投资结果反馈出来的积极消息和消极消息不断调整投资策略,甚至将结果与其他人的进行比较,通过模仿去调整自己的策略,最终使自己的策略达到令人满意的程度。这个动态调整的过程特别像进化论,就是我们很多策略、很多机构实际上在金融系统里面都是优胜劣汰、适者生存,这在金融学中被称为出现了投资风格和市场风格的转换。但是当大家慢慢发现某一种投资策略、某一种投资风格能赚钱时,采取这一种策略的投资者、机构就会越来越多,进而会导致所谓的交易拥挤。金融市场上一旦出现了交易拥挤,接下来就会出现剧烈滞胀,甚至崩盘。
3.美国2009-2019牛市行情解析
自2008年金融危机之后,美国出现了一个“黄金11年”的牛市行情,纳指从6000点涨到2万9千点,涨了350%,且这期间道指连创历史新高。
其原因之一是美国资金充沛,利率低。为了克服金融危机,美国采用所谓的QE导致了利率降低。利率低就表示股票价值公式中分母上的R值低。
二是这11年间,美国的高科技企业,如Facebook、特斯拉、亚马逊等发展良好,利润出现了大幅度上涨。这样一来,分子上的现金流、股利就多,从而分数值、股票估值就高。
三是减税政策导致企业的税后盈利增长,从而使得分子数值上涨。    
四是在这十年里,美国股市每一次出现调整的时候,美联储都有一种有意无意的救市行为,所以市场经过短暂的调整之后就能马上再创历史新高。正如市场上的一句话,“没什么好担心的,联储是牛市的坚强后盾。”因此,大家慢慢习惯了这种上涨,这种心态一旦形成,股市的生态也会发生变化。
五是股票回购在美国比较盛行。很多上市公司高管们都有股票激励计划,股价涨他们才能获得比较高的期权奖励报酬,所以当利率较低时他们会大量发行债,用债买回市场上的股票,这就对股市形成了一个强大的资金支持。
最后一个是投资的潮流和风尚,这一点需要稍微强调一下。首先,美国基金里面有一种非常流行的风险平价策略,这种策略就比方说原来认为股票风险大,那么股票投资组合是债券占40%、股票占60%。但是当重新计算风险收益平衡时,如果发现股票的收益率很高,且风险较小,那么就应该给它更多的配置。美国在过去的十年间确实是这样一个走势:市场整体上涨、风险较小。股票相对于债券来说上涨、风险小则意味着要使风险调整之后贡献更多的收益,需要把更多的资金加到股票市场上,提高股票的配置。其次,美国很多的股票投资者都会购买基金。美国的很多主流经济学家都认为市场是有效的,最好的投资策略就是购买ETF,也就是我们经常讲的被动式指数化基金。通过经济学家的不断努力,这个观念越来越被人们所认可,截止到2018年,美国被动管理的基金资产总额已经超过了主动性管理的基金资产总额。鉴于基金只涨不跌,很多ETF开始加杠杆,进一步放大了它的回报率,使得整个证券市场的生态发生了变化。同时我们在制度上开始采用了这一种生态,这种生态在过去十年赚了很多钱,并且越赚钱我们就越会去做,进而形成了一种正反馈。
4.2020股市暴跌解读
第一,疫情爆发是一个巨大的外部冲击。疫情一爆发,原来赚得盆满钵满的人大多都在抛售。用诺贝尔奖获得者——耶鲁大学的席勒教授的方法估算,2018年,美国股指水平比合理价值高估了40%。实际上,2019年,巴菲特、达里奥都在不同场合指出,美国股市有点被高估、存在泡沫。因此,在股市本来就有回调需要的背景下,疫情正好成为了一个外部巨大的冲击。另外,疫情导致了供需收缩和供应链破坏,使得经济剧烈收缩。疫情之下,供给减少,人们的需求下降,经济出现衰退。如此一来,企业的盈利现金流消失了,盈利大幅下降,即股票价值公式中的分子大幅度降低,所以它的合理估值也在下降。另外,由于疫情影响,未来不确定性因素很高,谁也不知道疫情在将来爆发的程度、范围、伤害有多大,这种不确定性的增加使得分母上的R值增加,也使得股票的合理估值降低。
第二,石油价格暴跌造成了债券市场的恐慌。疫情期间出现的石油价格暴跌,跟美国金融市场的交易制度安排,即金融市场的生态结构有关。美国因为利率低,在过去十年间发行了很多债券(通常指信用债券,而非财政部国债)。从投资级角度来看,最高等级的A等级企业占30%左右;B等级企业大概占28%;其余占30%多。美国很多的能源类型企业,特别是页岩气企业,它们的评级基本上都是B,因此一旦石油价格跌破了40美元,这些企业将由盈利变为亏损。盈利平衡点被打破,这个公司未来现金流的信用风险将急剧增加,一下就可使得证券信用等级大幅下降,融资利率迅猛升高。另外企业如果进行融资的话,融资成本也会非常高,无疑是给企业经营雪上加霜。在美国金融市场当中,这就相当于一个核弹,具有很大的冲击性,所以说石油价格暴跌造成了美国金融市场的巨大恐慌。
以上两大外部冲击引发了金融机构适应不良。“适应不良”是进化论中的一个术语,大白鲨经过4亿年的进化成为了海洋中的完美捕食者、狩猎者、杀戮者,但是一旦把大白鲨扔到陆地上,它就失去了以上能力。这就说明环境一改变,物种会出现不适应,甚至灭绝。实际上,在这一次金融危机的巨大冲击下,前面提到的下跌、恐慌、踩踏以及产生的流动性危机,使得美元荒出现。在包括黄金、比特币等在内的所有资产、甚至各种债都在下跌的情况下,流动性是十分必要的。如果没有流动性,人们将无法兑付,无法满足基金投资者赎回的要求,进而出现史诗级的危害。
5.救市措施及效果
第一,美国在货币政策上采用无限量化宽松。而且值得注意的是,美联储以前在公开操作时只购买国债,即无风险债券,但在疫情当下,它购买的对象已经包括了商业票据、低等级债券、EDF基金、美国的资产等。第二,美国财政政策倾向于救助个人和企业。美联储主义认为,产业政策要发挥更大的作用,就需要产业政策直接出钱救助个人和陷入困境的企业,也就是美国直接发钱,或者给企业减税救助。
这一次金融危机是从实体经济引发的危机,它跟2008年的金融危机不一样。鉴于本次危机不仅仅局限于流动性的危机、金融体系的信息危机,因此,如果光有货币政策无法解决问题。美国从货币政策和财政政策两方面采取的措施,从目前来看已取得不错的效果:金融市场恐慌减退、流动性危机解除、股市强烈反弹(纳指反弹至下跌之前水平,道指在低位上反弹30%)。
 3
理论的真知灼见
(一)传统金融学新古典范式
传统金融学新古典范式是在一个完美的世界里讨论金融市场如何运作的理论。该理论假设投资者是理性的,且市场没有交易成本、没有税收、信息完全,市场是有效的,即市场中的所有信息及时、准确地反映在价格上。也就是说,股票能够被正确地评价,即股票价格能基本上反映它的合理价值,虽然也存在泡沫,但是价格主要由价值决定。
1.新古典范式的结论
新古典范式的第一个重要结论是收益和风险是对称的。一个投资者、一个机构要想获得收益就必须承担相应的风险,天下没有免费的午餐,所有的股票价格都是被正确定价的。
第二个结论是风险分为系统性风险和非系统性风险。系统性风险是对所有股票都产生影响的风险,如本次疫情;非系统性风险只对某一支股票或某几支股票产生影响。市场只对不能分散的系统性风险提供价格和风险报酬。
第三个结论是非系统性风险可以通过多元化消除,市场是不会看指数价格的,所以投资策略应该是:不把所有的鸡蛋放到同一个篮子里,要做到多元化。
2.多因子模型
传统的CAPM里只有唯一的“市场”因子。90年代初期,诺贝尔经济学奖得主Fama提出了一个三因子模型,即在市场系统性风险的基础上,提出了规模因子和估值因子。规模因子可用小企业来解释。小股的风险是一个系统性风险,是不能被扔掉的。小股的风险更高,从长期来看,市场要给它一个更高的回报率才能跟它较高的预期回报率相一致。估值因子可用市盈率的概念来解释。市盈率P/E低的股票是指价格相对于每股盈利很低的股票,我们称之为价值股,这样的股票风险大、回报率高。
后来有不少学者对三因子模型进行了继续扩展,提出多因子模型。学者们在市场、规模、估值的基础上,提出动量、公司质量还有股票的过去波动率等因子。股票投资者获得高收益并不仅仅是运气的结果,更主要的是承担了一个不能分散的系统性风险。
3.新古典范式的投资建议
新古典范式认为,市场是有效,股票基本上能被准确定价。因此,如果想通过选股择食,想获得一个超过市场平均回报率的回报率是不可能。市场是集体盈利的,所有信息都被反映在市场中了,你再去分析、选股、择食是没有必要且徒劳的,还会导致支付成本过高。所以新古典范式一是建议购买指数化经济来分享经济增长成果。因为经济正在增长,股票作为股权投资可以分享企业增长、经济增长的成果。二是建议承担适当的风险来获得风险报酬。比方说去买一些小盘股、价值股、过去波动率比较低的强势股,通过主动去承担金融学家研究出来的风险因子,长期将获得比较高的回报率。西格尔教授的《股票的长期表现》和马基尔·波顿教授的《华尔街随机漫步》所体现的核心思想都是要进行长期投资和指数化策略投资。
一些多因子模型也提倡通过承担风险来获得风险报酬。举一个简单的例子,中国做过这样的模拟研究:把中国纳入MMCI指数里面的股票找出来,从中找到ROE最高和P/E最低的股票进行组合,也就是将相对较高和相对较低的股票进行组合。据统计,在过去的十年间,该组合每年的平均回报率达到10%左右,秒杀绝大部分的基金。
另外,很多金融学教授直接成立了一些指数化基金管理公司。2018年,指数化类基金中被动管理的基金资产已经超过了中国的基金资产,这就造成了交易上的拥挤。因为指数化基金是按方抓药,指数里面有什么就买什么,只要按照股票占整个指数市值比重就可以。所以一旦大家都在这么做,会有越来越少的人去分析股票的合理价格,仅仅把信息反映在价格里面,就会形成交易拥挤,即要买一起买,要跌一起跌,被动地进行减持,进而造成踩踏。
(二)行为金融学
行为金融学结合了心理学、脑神经科学、金融学,认为个体是非理性的。首先,个体存在认知偏差。其次,个体得到的信息不充分,使得他做出的决策有时也会是非理性的。这些非理性行为具有趋同性,比如面对牛市大家会一起贪婪,面对熊市大家会一起恐惧。加上前面提到的交易制度、交易机制安排、市场形态、市场生态的共同作用,人们所产生的行为会表现出趋同性。
哈佛大学经济学家Andrei Shleifer证明了一个重要的观点,即因为风险和成本太高,当市场价格已经远远偏离它的合理价值时,传统经济学家认为应该进行套利让价格向合理价值回归。但是理性投资者发现市场定价错误产生泡沫时,最优策略是利用泡沫赚钱而不是刺破泡沫,甚至可以助推泡沫的进一步膨胀而赚更多的钱,因而市场会进一步地偏离均衡。
因为行为金融学涉及的现实面比较广,这里挑出几个对我们分析系统有启发意义的核心理论进行简单介绍。
1.思考:快与慢
诺贝尔经济学奖得主丹尼尔·卡尼曼认为,我们的大脑有快与慢两种作决定的方式。常用的无意识的“系统1”依赖情感、记忆和经验迅速作出判断,它见闻广博,使我们能够迅速对眼前的情况作出反应。但“系统1”也很容易上当,它固守“眼见即为事实”的原则,任由损失厌恶和乐观偏见之类的错觉引导我们做出错误的选择。有意识的“系统2”通过调动注意力来分析和解决问题,并作出决定,它比较慢,不容易出错,但它很懒惰,经常走捷径,直接采纳“系统1”的直觉型判断结果。所以说在金融学中,我们用“系统1”这种反应模式来分析金融市场,经常会陷入认知偏差和非理性结构。
2.前景理论
“前景理论”的核心观点一是损失的痛苦大于获得的快乐。比如你丢了一百块钱,后来你又找到了这一百块钱,但是丢钱带来的痛苦远远超过得到一百块钱带来的快乐,痛苦和快乐之间的比例可能是2:1。二是人在面临获得的时候,喜欢躲避风险,而在面临损失时,又倾向于冒险。这实际上可结合微观经济学中效用函数曲线呈S型来理解。在获得收益的时候,大部分投资者是风险厌恶者,但是在面临损失的情况,大部分投资者又变成了风险爱好者。比方说,市场金融危机时股票暴跌,人们是风险爱好者,往往都愿意赌上一把。但是如果说买完一支股票后突然赚了20%,接着连续出现两个涨停板,大家一般都会比较紧张,会思考要不要把它卖掉,这时候人们就变成了一个风险厌恶者。再比如说,金融市场上的一些流动性业务员,由于他风控不利造成损失时,他一般会将这件事隐瞒起来做一个更大的投机,冒更大的风险,以期把损失弥补过来,但是最后往往会造成一个更大的灾难性风险。
3.认知偏差
丹尼尔·卡尼曼和特沃斯基认为,无论是初出茅庐的新手,还是经验丰富的交易者,在面临复杂和模糊的问题时,经常会发生启发式认知偏差,只是偏差的几率、幅度大小不同而已。常见的启发式认知偏差包括:锚定效应偏差、代表性偏差、可得性偏差。
锚定效应偏差就是我们常说的先入为主的观念。比方说,我们在星巴克会经常看到一瓶矿泉水卖到20几块钱,实际上它不是为了卖,而是作为一个锚定。当你看到一杯咖啡也才20多块钱时,你会很自然地去购买咖啡,因此这瓶水的作用就是让你对20块钱的咖啡没有厌恶情绪,并不会觉得咖啡价格很高。再比方说,金融危机爆发使得一支股票突然下跌50%,你会觉得跌太多了,为什么呢?因为你原来的锚点是10块钱,一旦它下跌至5块钱,你就会觉得占了大便宜,会毫不犹豫将其买入。但是买入后,如果股票下跌至1块钱,你就损失了80%,这跟以10块钱买入损失90%几乎差不多。所以很多股票老手会死于抄底,这就是锚定性效应偏差带来的。当股票跌到5块钱时,我们不应看股票以前是多少钱,而应该看它现在值不值5块钱,看它是不是发生了恶化,这种恶化能不能在短时间内被错杀,如果不能的话,那5块钱也是贵的。
代表性偏差的含义是,比方说,股市连续几天暴跌,如美股从2万9千点跌至1万多点,突然反弹两三天,即便只是反弹了1千点你都会觉得一切OK。股市上有一句埋怨话,“一根沿线改变信仰”,就是说在股票市场上,一支股票跌了一半时,突然有一天涨停你就觉得这个股票已经完全翻转了,但实际上该股从50块钱跌至20块钱,现在只是仅仅涨到了22块钱。通俗地讲,代表性偏差就是通过一些非常小的、根本不能代表整体的事件得出不可靠的结论。
可得性偏差是人们因为大脑比较懒,不愿意做过多分析,从而只做简单、容易的事。就如西方谚语所说,“一个人总是在路灯下面去找自己的钥匙”,因为只有路灯下面有亮光。在金融市场上,人们经常爱听专家的意见,自己不愿去过多分析。专家们一说到现在比较热门的5G、量子通讯、特斯拉等,大家就都会去买,根本没有任何的怀疑或者分析思考的过程,这也是前面讲到的大脑思考快与慢的问题,我们倾向于经常启用“系统1”,而不去深思熟虑、理性分析。
另外,还有一个典型的认知偏差是后悔厌恶。很多时候,在遇到事情时大家总爱盲目地采取一些行动,因为如果什么都不做,人们就会非常后悔。比方说,股票一跌,人们就会考虑是不是要赶快卖出,如果不卖,股票进一步下跌就会让人非常后悔,于是人们便会采取一些措施。其实政策决定者也是这样的,股市一出问题,政策决定者们便会马上去救市,因为如果采取行动了但没效果,那政策决定者不用承担责任;但如果政策决定者们没有立马的动,股市形势一旦出现进一步恶化,大家就都会归咎于他们没有及时采取行动。
 4
怎么办?
(一)疫情会改变什么?
任何人都不具有预测未来的能力,没有人能预测到未来经济是否会进入衰退和萧条。但综合目前各方的观点来看,政府、高官、决策者、经济学家等都提出了一些不是很乐观的观点:经济很难恢复到以前的态势。
目前,美国的M2货币增长速度已经增长到了仅次于二战时期的速度了,美联储的资产负债表从年初的400亿扩展到了600亿,并且估计年底将达到800亿。由此可见,美国的救市力度之大。目前,美国货币政策采取无限量化宽松,一些人会认为未来将出现通胀。不过还有一些人不这么认为,他们认为货币通胀率不太会发挥作用,未来将出现通缩。尽管货币量较多,但是危机给人们造成的心灵创伤很难被治愈。比方说,日本现在处于经济长期衰退时期,特别是在危机期间,人们会倾向于为未来进行储蓄。尽管疫情过去,人们也不敢消费,企业家也不敢投资,因而将出现货币很多但流通速度很慢的情形。另外,金融危机之后的救市措施也可能会造成两级分化更加严重:资本回报率超过经济增长率本来就对富人更有利,救市之后,大家会认为这些钱并不能精准地给每一个人,分配结果仍然是富人更多穷人更少,贫富差距会进一步扩大。当然,无论是通胀还是通缩,都是对未来的主观判断。
其次,疫情可能带来逆全球化。过去,全球经济的增长很大程度上取决于全球化的进程,全球化极大地提高了效率、增加了财富。在全球化背景下,供应链分布在各个国家,而现在不行,随着“以邻为壑”的贸易保护主义愈演愈烈,每个国家都在建立自己的独有体系,这个独有体系会对金融效率起到很大的抑制作用。
最后,欧美的股市会反弹还是翻转呢?是不是将来还要创新高呢?很难判断。1929年美国也曾面临大萧条,但在1930年就出现了很快的反弹。当时美国政府采用了一些措施,如加息加税等。如果说本次危机也能够很快解决的话,政府救市的力度应该是史诗般,且在未来可能会产生负效应的。
(二)投资策略应如何改变?
投资策略应随环境的改变而改变。首先,中国是全球经济中非常重要的一环,中国未来内外部发展环境都面临着严峻的挑战,如供应链、外部需求、产业结构等都可能发生很大的变化。根据最新财报,欧美的一些高科技企业,如苹果、Facebook等企业的业绩还是很不错,因此美国纳指的反弹速度就比代表传统行业的道指反弹要快。同样,中国的腾讯企业业绩也不错,因为疫情期间宅家上网打游戏的人很多。但像美国的Zoom公司,疫情给它带来的影响就比较消极。因此,疫情带来的影响有好有坏,会对我们的经济结构产生很大的影响,这时候就需要调整结构。
其次,从2014年开始,中国开始规范银行同业业务,确立了“严监管、去杠杆”的主基调。在这之前,很多民营企业会通过各种各样的方式搜集资金来扩大自己的市场份额、扩大产量,其中不乏有企业甚至去做抵押、去搞并购。但是“严监管、去杠杆”的政策一出来,这些企业就受到了极大的冲击。值得一提的是,很多人通过加杠杆来购买股票,那么企业股价在下跌的同时,这一些股票爆仓还会导致股价进一步下跌,因而很多爆仓股票会不惜代价地往外卖,使得经济生态发生变化。实际上,市场在近几年出现了很大的两级分化,即强者更强、弱者更弱。中国有3700家上市公司,其中,市值低于100亿的大概有2600多家,超过千亿的很少。目前,高市值公司的股价增速已远远超过了小盘股,虽然美国的小盘股长期回报率高,但在中国不是这样,茅台、五粮液、恒瑞、三一重工等大型企业都在创新高。一方面,国外资金倾向于购买确定性高的股票,即高市值公司的股票;另一方面,在“严监管、去杠杆”的政策指引下,高市值公司能较容易地进行融资,有更强的能力去解决信息危机问题,所以这些公司能够更好地发展、获得更高的利润、占据更高的市场份额。
另外,今年实行的新《证券法》以及创业板都将推行注册制,注册制的实行会使得壳资源不再值钱。中国曾经采用的核准制使得企业的壳显得很重要,很多企业便借壳上市。但在如今的注册制下,如果再按照以前的逻辑进行投资则会造成一个非常大的压力。不过,市值在100亿以下甚至50亿以下的企业有很多,市值在50亿以下的企业将近2千家,很多市值在100亿到500亿之间的上市公司现在也降到了50亿以下。因此,头部企业很少,从企业市值来看,企业分布呈金字塔型。如果大家都聚集在头部企业,一些小盘股就可能被市场抛弃。据统计,市值在100亿以下、50亿以下的小盘股,每年被调研的次数已从40多次直接降到了10次,市盈率从70多降到了20。如果大家都只关注头部企业,那么也有可能造成交易拥挤,甚至产**行为。
(三)投资的智慧
具体到投资者而言,投资者需要考虑逆向思维和价值投资。首先,投资者应具备逆向思维。因为大部分人在股市上是赚不到钱的,股市上存在羊群效应,大家都是一起贪婪一起恐惧,所以根据721法则,大部分人都是赔钱的。因而投资者们“应该在炮声中入场,在凯旋军号中离场”。当股市的战争打起来的时候,大家都非常紧张,这时候可以抄底;当战争胜利,也就是股市大涨的时候,反而应该将股票抛掉,这就叫逆向思维。很多伟大的投资家都具有这种逆向思维。其次,投资者应进行价值投资。从长期来看,我们要购买安全边际最高的股票。安全边际是指股票的价值跟价格越高越好、越高越安全,股价越高,将来赔的可能性就越小,从大概率事件的角度,你将立于不败之地。除了安全边际,根据巴菲特的价值投资理念,还可以购买成长型股票。购买成长型股票可保证不会赔钱,仅仅是便宜地买到这种股票就能保证自己立于不败之地。当然,如果该上市公司在未来有一个快速成长期的话,股价的生长幅度就会很大,进而能够改善股票的市盈率、提高股票的市场估值,这在投资学上被称作“戴维斯双击”。比如,如果市盈率涨一倍、估值再涨一倍,那么股价就涨了四倍。另外,在进行价值投资时,如果在对投资标的非常了解的情况下,你发现了一支安全性根基高、具备未来成长性且现在价格被低估的股票,那就应该对其进行集中长期投资。但是如何才能找到这样一支股票呢?巴菲特认为,这需要建立起自己真正的能力圈,要具备分析股票的能力。当然,对于没有时间、没有精力、没有专业知识的投资者来说,可以尝试指数化战略。
另外,投资者还需要克服自己的人性弱点,如贪婪、恐惧、盲目跟风,喜欢短期投机而不重视长期投资等。这些心理在赌博中很容易被发现,因为赌场实际上靠的就是概率和人性来赚钱。首先,在赌博游戏中,赌场会通过设置庄家使赌场老板赢的概率稍微大一点。其次,赌场会利用人性的弱点。根据对10000个澳门赌客的分析结果,发现胜负的概率分别为53%和47%,其中赢钱离场的人平均盈利34%,输钱离场的人平均亏损72%。赌场并不需要做局盈利,保证公平依靠人性的弱点就可以持续盈利。根据前面提到的“前景理论”,人们在面临收益的时候是风险厌恶者,在面临损失的时候是风险爱好者。人们面临损失时更愿意去冒险,最后反而输得更惨。因而在危机期间,投资者们更应该成为风险厌恶者。具体地说,在危机期间,大部分人都遭受了损失,进而倾向于成为一个风险爱好者。比方说,当持有的股票从一百万跌倒五十万时,有人向他推荐了另一支股票,他会倾向于立马赌上一把,认为只要投入一百万,哪怕挣回50%就能弥补回前面的损失。这跟在赌场里连输几次后加大赌注同一个道理,都指望赢一次就回本。但是如果要成为一个风险厌恶者的话,就需要抑制住这种赌博心态。同时,根据行为金融学理论,锚定效应也一定要克服掉,不要认为股票跌了50%,就能去抄底。
(四)投资中应避免的错误
第一,投资中应避免羊群效应。为什么无论在牛市还是在熊市都有很多人赔钱?原因在于这些人没有独立判断的习惯,总是人云亦云跟随大流,这样的人很容易赔钱。真正让人赔钱的不是熊市,而是“羊市”。不要让羊群效应主导了我们的投资决策。第二,投资中要避免短视。投资中最容易赚的钱是目光长远。短期的交易极度拥挤,长期的交易并不拥挤,只要眼光放长,就能赢在起点。第三,要避免对自己不够了解。在投资时应具备自己的能力圈,要充分了解自己适合做什么。能穿越熊市的基础是,找到一个适合自己的投资方法,在研究公司之前,先研究自己。最后,要谨慎风险。在拉丁语中,没有航海图去航海就叫风险。疫情给世界带来了很大的改变,疫情什么时候结束?疫情在未来会怎么发展?目前仍然是未知的。所以在疫情期间进行投资,就好比在没有航海图的情况下,在未知的海洋里遨游。面对风险,大家应该更加谨慎,克制住赌博心理、加杠杆心理。
分享到:
0
扩展阅读